Comparison of measured and theoretical scattering and polarization properties of narrow size range irregular sediment particles
Wayne Homer Slade, Yogesh C. Agrawal, and Ole A. Mikkelsen
Sequoia Scientific, Inc., 2700 Richards Rd, Ste. 107, Bellevue, WA,USA, 98005-4200
Over two decades ago, regarding the use of Mie theory for light scattering by homogeneous spherical particles by atmospheric optics researchers in the context of non-spherical and non-homogeneous particles, optical physicist C.F. Bohren wrote:
When criticized for using Mie theory where its applicability is dubious, modelers sometimes respond that although they know that Mie theory is inadequate, it is the only game in town… We suggest an alternative to modeling. It is called not modeling–not modeling, that is, until adequate methods are at hand”[1].
This same criticism applies to ocean science today. Oceanographers typically take recourse to Mie theory even when the particles of interest are irregularly-shaped terrigenous marine sediments. This is largely due to the complexity of particulate matter in the oceans, and especially the coastal ocean [2]. Mie theory is known to be particularly unsuitable for such complex particles. For instance, the oscillations of the phase function predicted by Mie theory vanish for irregular particles in the small, mid- and backscattering angles [3–5]; and even the roughness of otherwise spherical particles has been shown to have profound effects on scattering especially in the backscattering angles [6]. Other numerical models such as T-Matrix, are rarely used in ocean optics studies due to restrictions to particular geometries and small particle sizes imposed by numerical stability and computation time issues [4].
The predominant use of theoretical models for VSF is largely due to the limited number of actual measurements. Measuring the VSF is difficult due to the wide dynamic range of scattered intensity as a function of angle, as well as variability across environments. Due to these engineering challenges in developing a VSF instrument, most ocean optics research has relied on limited measurements of the VSF, most notably those of Petzold in the seventies [7]. The present work continues ongoing research by the authors related to the scattering properties of irregular particles. Using the recently developed LISST-VSF instrument, we measured the VSF at angles ~0.1–150° (as well as the degree of linear polarization from ~15–150°) of narrow size distributions of irregular silt and sand-sized particles (Arizona Test Dust Fractions, Powder Technology, Inc.) in the laboratory.
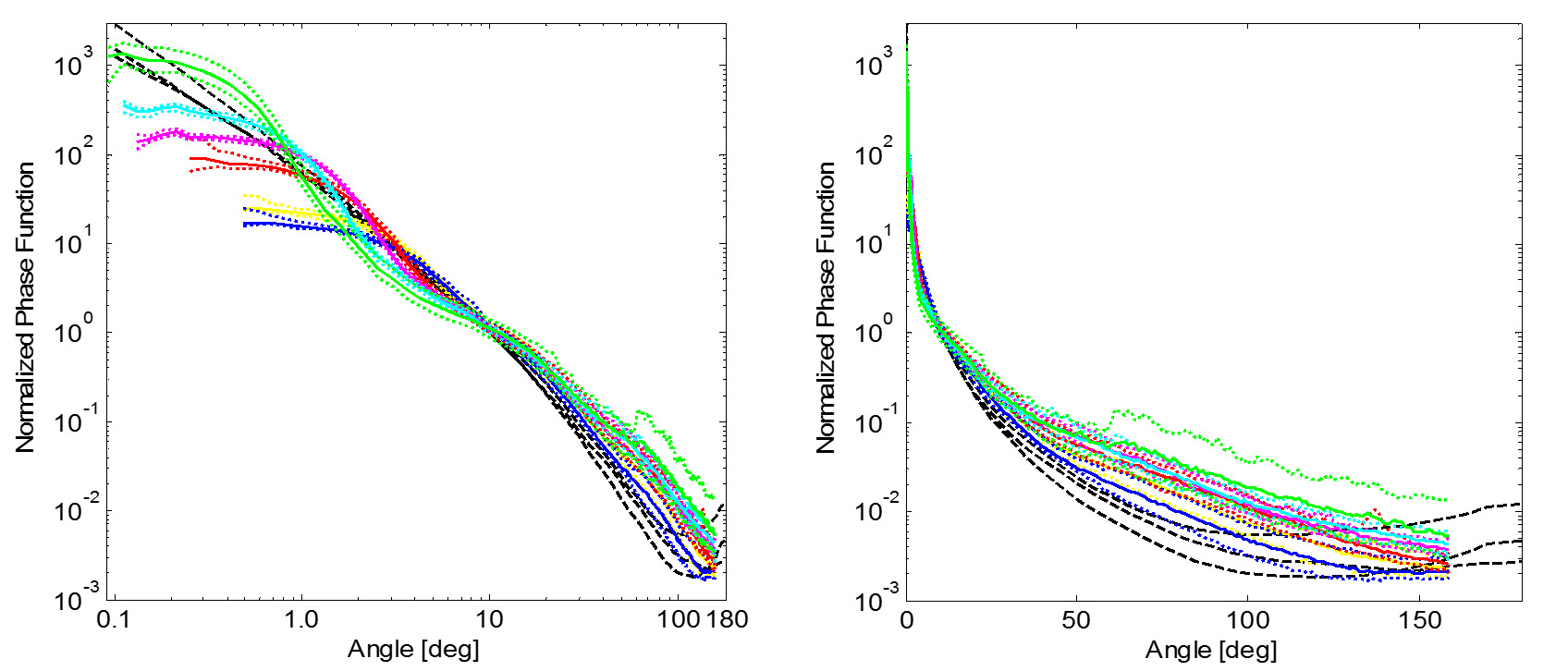
Measured phase functions for the six sizes fractions of Arizona Dust, ranging between 2 µm and 30 µm, are shown in Figure 1, along with Petzold’s mean phase functions as a reference. The general trend in these observations is as expected: larger particles become more strongly peaked in the near-forward angles. Larger particles also appear to exhibit enhanced scattering compared to smaller particles, and in all cases, the measured phase functions had greatly enhanced scattering in the mid angles (~40−100°) compared with the Petzold phase functions. The 2–4.5 and 2–6 µm samples appear smooth as functions of angle, while the larger sizes present increasingly obvious inflection points in near-forward angles less than ~20°. The shapes of the measured phase functions are similar to theoretical predictions to first order (not shown), however, the structure presented in the near-forward angles mentioned above appears muted compared to Mie theory, not surprising from previous measurements of near-forward scattering by irregular mineral particles [3]. The most striking difference between the measured and theoretical phase functions is the enhancement at mid angles.
Measured depolarization P12 was significantly different from theoretical predictions (not shown). Particle shape and possibly composition appear to have drastic effects on the depolarization. Observed P12 had smooth shapes and minima between 100−125°, in contrast with previous measurements on phytoplankton, silts, and ocean waters that typically had minima near 90° [8].
| Figure 1 – Measured phase functions (normalized to magnitude at 10°) for the PTI Arizona Dust size fractions: 2–4.5 µm (blue), 2–6 µm (yellow), 4–8 µm (red), 6–11 µm (magenta), 10–20 µm (cyan), and 20-30 µm (green). Petzold [1972] mean phase functions for clear, coastal, and turbid waters are shown in black dashed. |
References
[1] C. F. Bohren and S. B. Singham, “Backscattering by nonspherical particles: A review of methods and suggested new approaches,” Journal of Geophysical Research, vol. 96, no. D3, pp. 5269–5277, 1991.
[2] I. G. Droppo, “Rethinking what constitutes suspended sediment,” Hydrological Processes, vol. 15, no. 9, pp. 1551–1564, Jun. 2001.
[3] Y. C. Agrawal and O. A. Mikkelsen, “Empirical forward scattering phase functions from 0.08 to 16 deg. for randomly shaped terrigenous 1-21 μm sediment grains,” Optics Express, vol. 17, no. 11, pp. 8805–8814, May 2009.
[4] W. R. Clavano, E. Boss, and L. Karp-Boss, “Inherent optical properties of non-spherical marine-like particles — from theory to observation,” Oceanography and Marine Biology: An Annual Review, vol. 45, pp. 1–38, 2007.
[5] Ø. Svensen, J. J. Stamnes, M. Kildemo, L. M. S. Aas, S. R. Erga, and Ø. Frette, “Mueller matrix measurements of algae with different shape and size distributions,” Applied optics, vol. 50, no. 26, pp. 5149–57, Sep. 2011.
[6] R. Killinger and R. Zerull, “Effects of shape and orientation to be considered for optical particle sizing,” in Optical Particle Sizing: Theory and Practice, G. Gouesbet and G. Gréhan, Eds. Plenum Press, 1988, pp. 419–429.
[7] T. J. Petzold, “Volume scattering functions for selected ocean waters,” 1972.
[8] H. Volten, J. F. De Haan, J. W. Hovenier, R. Schreurs, W. Vassen, F. Charlton, and R. Wouts, “Laboratory measurements of angular distributions of light scattered by phytoplankton and silt,” Limnology and Oceanography, vol. 43, no. 6, pp. 1180–1197, 1998.
